Тема: Интегралы
∫ [m]\frac{1}{\sqrt{x^2+1}-\sqrt{x^2-1}}{dx}[/m]
8. Найти интеграл ∫ from -1 to 1 e^(2x+1) dx
6) ∫ sin 2x dx.
Укажите все верные утверждения
8.1.4. ∫ 4√x dx.
8.1.6. ∫ dx / (x^2 - 1/2)
8.1.3. ∫ dx / x.
8.1.5. ∫ dx / (x^2 + 9)
8.1.7. ∫ dx / √(x^2 + 3)
1. ∫ ( (4/3) x^3 - (3/4) x^2 + 5 ) dx
2. ∫x³(1 + 5x)dx
3. ∫ (3^x - e^x + 2x - 1) dx
4. ∫ (5x + 3)³ dx
5. ∫(x^(-4) - x^(-3) - 3x^(-2) + 1) dx
в) ∫(4x^3 + 2x^2 + 1) / x(x - 1)^2 dx ; Г) ∫(1 / (2 + 5cos^2x)) dx ; Д)
∫(4x + 3) / √(7 - 2x - x^2) dx.
1.Найдите неопределенные интегралы:
а) ∫▒(2/√х- (4√(3&x^2 ))/х)dx ; б)∫▒xdx/(〖sin〗^2 (x^2 ) ̇ )
2.Найдите определенные интегралы:
а)∫_(√5)^(2√2)▒xdx/√(3x^2+1); б)∫_0^(π/6)▒〖e^sinx cosxdx 〗
sqrt(подкоренное выражение)(1+sin2x)dx
б)
25
∫ (1/sqrt(x) -1) умножить на dx
9
в) ∫ x/7+x^(2) dx (замена t=7+x^(2))
-----------------------
arctg x - 10 dx
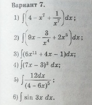
1) ∫(4 - x^7 + 1/x^7) dx;
2) ∫ (9x - 3/x^4 + 2x^5) dx;
3) ∫(6x^11 + 4x - 1) dx;
4) ∫(7x - 3)^3 dx;
5) ∫ 12dx/(4 - 6x)^5;
6) ∫ sin 3x dx.
∫(cos7x+((5xe^x-2)/x))dx
Решить неопределенный интеграл и выполнить проверку дифференцированием
2. ∫(1 + 2x)cos x dx
3. ∫ (x⁵ + x⁴ - 8) / (x³ - 4x) dx

∫ (6x² + 16x - 1,5) dx
∫ cos(5x + 7) dx
∫ x^(1/3) dx
∫ (1 + x + x² + x³) dx
Dx/(x(5+ln^2x)
(2^(2х)-1)/sqrt(2^x)
dx(2x-(arcsinx)^(1/2))/(1-x^2)^(1/2)
∫ sin3xdx/sqrt(5+cos3x)
...
Опишите по шагам решение
1687. ∫ (2x⁻¹.² + 3x⁻⁰.³ - 5x⁰.³⁸) dx.
2. ∫ sin(1-x^2)x dx
3. ∫ e^x dx / (4+e^(2x))
...
Решите пожалуйста!!
❤