Задать свой вопрос
*более 50 000 пользователей получили ответ на «Решим всё»
Задача 38179
...
Условие
vk137051674
2019-06-16 10:20:45
Решить интегралы ∫ dx/(sqrt(8x^2-2) и остальные...
математика 3k класс
1749
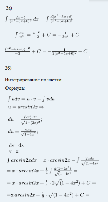
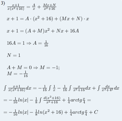
Решение
sova
2019-06-16 10:39:38
★
Написать комментарий
Категории
ИНТЕГРАЛЫ
Непосредственное интегрирование
ИНТЕГРАЛЫ
Интегрирование рациональных дробей
ИНТЕГРАЛЫ
Интегрирование по частям
Меню
Решим всё
Найти задачу
Категории
Статьи
Тесты
Архив задач
Присоединяйся в ВК