Задать свой вопрос   *более 50 000 пользователей получили ответ на «Решим всё»

Интегрирование рациональных дробей

Практика (28)

Решить интеграл

Решить неопределённый интеграл: ∫ [m]\frac{-x^2+6x+6}{(x+1)*(x^2-4x+12)^2}[/m]dx


неопределенный интеграл
(x) / (x^3 + 1) dx

Только не чере канкулятор, способы решение наиболее простой чтобы было легко обьеснить

Интегрирование рациональных функций

∫ dx / (4 + x + x^2)

о<— ` =2 S ле o ХЕ

13. ∫ (dx / 3x² - 8x - 3)

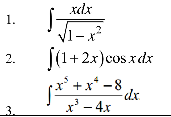
1. ∫ xdx / √(1 - x²)

2. ∫(1 + 2x)cos x dx

3. ∫ (x⁵ + x⁴ - 8) / (x³ - 4x) dx

1.Найдите указанные неопределенные интегралы.
2.Вычислите указанный определенный интеграл, используя
формулу Ньютона–Лейбница

Найти интегралы


( ∫ 2–x/4x2+16x–12 )dx
подробное решение

∫ (2 - x) / (4x² + 16x - 12) dx.

∫ (7x-2)/((x-1)(x^2+4)) dx

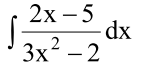
Вычислить неопределенный интеграл ∫ (2x-5)/(3x^2-2) dx

∫ x^3-2x/x^2-3x+2

Решить интеграл dx/(x^3(x^3-3))

Решить интегралы: 1)интегрирование тригонометрической функции; 2)интегрирование через тригонометрические подстановки; 3)рациональные функции

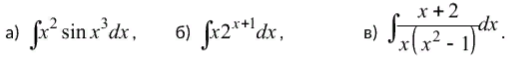
∫ (x³ / x³ + 8) dx

12. ∫ x^5 - 2x + 3 dx / x^2 + 2x

14. ∫ 2cos^4y dy

16. ∫ dx / cos^3(x/4)

17. ∫ ctg^(3) (2/3) x dx

∫ xdx/(x-2)(x^2+x+1)

Вычислить интегралы.

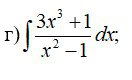
г) ∫(3x^3 + 1) / (x^2 - 1) dx

∫ (-x^5+25x^3+1)/(x^3-25x)dx

Решить с подробным описанием интеграл: 1/((x^2)(√(x+1)))

∫ sqrt((1-x)/(1+x))dx/x
Помогите решить.

Решить интегралы ∫ dx/(sqrt(8x^2-2) и остальные...

26. a) ∫(√(3 - x) + √(3 + x)) / √(9 - x^2) dx ; б) ∫(x^2 - 6)*3^x dx ;
в) ∫(4x^3 + 2x^2 + 1) / x(x - 1)^2 dx ; Г) ∫(1 / (2 + 5cos^2x)) dx ; Д)

∫(4x + 3) / √(7 - 2x - x^2) dx.

Нужна помощь с интегралами.