Задать свой вопрос   *более 50 000 пользователей получили ответ на «Решим всё»

Интегрирование некоторых иррациональностей

Практика (30)

Применяя указанную замену переменной, вычеслить

∫ sqrt(3-2x-x^2) dx , x+1 = 2sint

Нужно решить


неопределенный интеграл
(√х) / (x-3√x) dx

Интеграл ∫ sqrt(x^2-3)/x^4 dx

Интегрирование иррациональных функций. Универсальный подстановка

∫ √x + x / √x - 2 dx

Интегрирование иррациональных функций. Универсальный подстановка

1) ∫ dx / sqrt(x² - 4x + 5)

Решить интеграл ∫ sqrt(x + 4) / x dx.

∫ ( √(4 - x^2) )^3 / x^6 dx.

13. ∫(dx / √(4x² - x + 4))

Решить интегралы: 1)интегрирование тригонометрической функции; 2)интегрирование через тригонометрические подстановки; 3)рациональные функции

1.22 Вычислить интеграл
а) ∫(корень 3ей степени(1+корень 4ой степени(x))/sqrt(x) dx б) ∫ tg^5xdx. Смотреть фото. Можно с подробностями или с объяснением, пожалуйста.

267. ∫√(x² - 2x - 1)dx .

269. ∫√(1 - 4x - x²)dx .

57. ∫ dx / (2 - x) √(1 - x)

59. ∫ dx / √ ( x + 1 + √(x + 1)³)

Найти интеграл:
dx/ sqrt(x^2+8x+9)

∫ x³ (1 + 2x²)^(-3/2) dx.

Решить с подробным описанием интеграл: 1/((x^2)(√(x+1)))

∫ sqrt(x)*dx/∛x+1

∫ sqrt((1-x)/(1+x))dx/x
Помогите решить.

Решите пожалуйста!!!

Найти интеграл, применив нужную замену переменной

∫ dx / ((2x + 1)^2 - √(2x + 1))

Вычислить интеграл от иррациональной функции

подробное решение

∫ dx/ √x2–5x+6
подробное решение

∫ (4x + 3) dx / √(7 - 2x - x^2) dx .

9.1.49.
∫(from 1 to 16) (dx / (x + √(4)x))

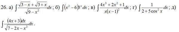
26. a) ∫(√(3 - x) + √(3 + x)) / √(9 - x^2) dx ; б) ∫(x^2 - 6)*3^x dx ;
в) ∫(4x^3 + 2x^2 + 1) / x(x - 1)^2 dx ; Г) ∫(1 / (2 + 5cos^2x)) dx ; Д)

∫(4x + 3) / √(7 - 2x - x^2) dx.

1.Найдите указанные неопределенные интегралы.
2.Вычислите указанный определенный интеграл, используя
формулу Ньютона–Лейбница