Задать свой вопрос   *более 50 000 пользователей получили ответ на «Решим всё»

Задача 37185 ...

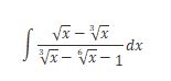
Условие

предмет не задан 818

Решение

В знаменателе не должно быть корня шестой степени из разности
Там опечатка
см. приложение

Замена переменной

x=t^6
dx=6t^5dt

sqrt(x)=t^3
∛x=t^2

тогда данный интеграл сводится к интегралу от дроби

∫ (t^3-t^2)*6t^5dt/(t^2-t-1)

Дробь неправильная. Надо выделить целую часть и разложить на простейшие....



Написать комментарий

Категория

Меню

Присоединяйся в ВК