Задать свой вопрос   *более 50 000 пользователей получили ответ на «Решим всё»

Интегрирование тригонометрических функций

Практика (38)

Интегрирование иррациональных функций. Универсальный подстановка

[block] ∫ (dx)/(4cosx+sinx)[/block]

Интегрирование иррациональных функций. Универсальный подстановка

∫ cos^7 x · dx ,

Интегрирование иррациональных функций. Универсальный подстановка

Решить интеграл ∫^(π/2)_0 (dx)/((1 + sin x + cos x)^2) .

Интеграл 1/((sin(x))^4(cos(x)^3))

Вычислить интеграл ∫ 1/sin^5(x)dx

Интегралы

интеграл sinx dx / 5 + 3 sinx

∫ (π/6 to π/2) ctg^3 x dx.

∫ctg2xdx
Найти неопределенный интеграл. (подсказка ctg2x = cos2x / sin 2x).

u = sin 2x, du = 2cos2xdx, dx = du/2cos2x, подставьте в интеграл

Найти неопределенный интеграл:
∫sin^2(3x/2)dx

Найти неопределенный интеграл ∫sin(x/2) cos(x/4) dx, подсказка: используем формулу:

sin α cos β = (sin (α + β) + sin (α - β)) / 2

Нужен решить интеграл

Решение задач

∫sin²3xdx

∫cos²8xdx

∫ sin^(3)7x cos 7x dx
если можно подробное решение

Срочно 10 мин осталось помогите пжл

Помогите решить, но шаг за шагом пожалуйста!

Задание на картинке

∫ sin⁴t cos³t dt

∫ dx/3+sinx+cosx

∫ sin 2x cos x cos 3x dx

Решите интеграл ∫ dx / (2sinx+3cosx)

∫ dx / (2 - cos x);
∫ cos^5 x / (1 + sin x) dx;
∫ dx / (2 sin^2x + 7 cos^2x);
∫ sin^2 x / cos^(10) x dx;

∫ sin^4 x cos^3 x dx;
∫ sin^6 2x dx;
∫ cos 3x cos 2x dx

Решить неопределённый интеграл вида
∫ sin^4x×cos^4x dx
∫ tg^4 x/2 dx

∫ (tg2x+ctg2x)^2 dx
подробное решение

3.2 Найти интеграл ∫ sin 7x sin 5x dx

Найти интегралы

Решить интегралы: 1)интегрирование тригонометрической функции; 2)интегрирование через тригонометрические подстановки; 3)рациональные функции

12. ∫ x^5 - 2x + 3 dx / x^2 + 2x

14. ∫ 2cos^4y dy

16. ∫ dx / cos^3(x/4)

17. ∫ ctg^(3) (2/3) x dx

1.22 Вычислить интеграл
а) ∫(корень 3ей степени(1+корень 4ой степени(x))/sqrt(x) dx б) ∫ tg^5xdx. Смотреть фото. Можно с подробностями или с объяснением, пожалуйста.

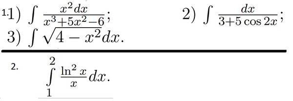
1.Найдите указанные неопределенные интегралы.
2.Вычислите указанный определенный интеграл, используя
формулу Ньютона–Лейбница