Задать свой вопрос   *более 50 000 пользователей получили ответ на «Решим всё»

Задача 42888 ...

Условие

3.2 Найти интеграл ∫ sin 7x sin 5x dx

математика 10-11 класс 780

Решение

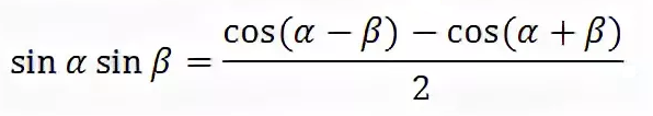
Так как

sin7x*sin5x=(cos(2x)-cos(12x))/2=(1/2)cos2x-(1/2)cos12x, то



∫ sin7x*sin5x dx=(1/2) ∫ cos2xdx-(1/2) ∫ cos12xdx=

[b]=(1/4)sin2x-(1/24)sin12x+C[/b]

Написать комментарий

Категория

Меню

Присоединяйся в ВК