Задать свой вопрос   *более 50 000 пользователей получили ответ на «Решим всё»

Задача 33385 1.Найдите указанные неопределенные...

Условие

1.Найдите указанные неопределенные интегралы.
2.Вычислите указанный определенный интеграл, используя
формулу Ньютона–Лейбница

математика ВУЗ 2179

Решение

1.
1) раскладываем знаменатель на множители:
x^3+5x^2-6=x^3-x^2+6x^2-6=x^2(x-1)+6*(x-1)(x+1)=
=(x-1)*(x^2+6x+6)

Дробь
x^2/(x^3+5x^2-6) раскладываем на простейшие дроби A/(x-1) + (Mx+N)/(x^2+6x+6)
x^2=A*(x^2+6x+6)+(Mx+N)*(x-1)
x^2=(A+M)x^2+(6A+M-N)x+(6A-N)
A+M=1
6A+M-N=0
6A-N=0
выражаем из третьего равенства N, из первого M
N=6A
M=1-A
и подставляем во второе
6A+(1-A)+(6A)=0
13A=-1
A=-1/13

N=-6/13
M=14/13

Выделяем полный квадрат
x^2+6x+6=(x^2+6x+9)-9+6=(x+3)^2-3;

∫ (x^2dx)/(x^3+5x^2-6) = (-1/13) ∫ dx/(x-1) + (1/13) ∫ (14x+6)/(x+3)^2-3)=

замена в последнем интеграле: х+3=t; x=t-3; dx=dt

=(-1/13)*ln|x-1|+(1/13)* ∫ (14t-8)dt/(t^2-3)=

=(-1/13)*ln|x-1| +(7/13)*ln|t^2-3|-(8/13)*(1/2sqrt(3))ln|(t-sqrt(3))/(t+sqrt(3))|+C

t=x+3

2.
5+2cos2x=5*(cos^2x+sin^2x)+2*(cos^2x-sin^2x)=

=7cos^2x+3sin^2x=cos^2x*(7+2tg^2x)

Замена
tgx=t
dt=(tgx)`dx
dt=dx/cos^2x

получим

∫ dt/(7+2t^2)=(1/2) ∫ dt/(t^2+(7/2))=

=(1/2)*(1/sqrt(7/2))*arctg(t/sqrt(7/2))+C=

= 1/sqrt(14) arctg((sqrt(2)*tgx)/sqrt(7)) + C

3.
Тригонометрическая подстановка
x=2sint
dx=2costdt
4-x^2=4-(2sint)^2=4-4sin^2t=4*(1-sin^2t)=4*cos^2t

получим

∫ (2cost)*(2costdt)=4 ∫ cos^2t dt= 4* ∫ (1/2)*(1+cos2t)dt=

=2t +2*(1/2)*sin2t+С

x=4sint ⇒
sint=(x/4) ⇒ t=arcsin(x/4)
и
cost=sqrt(1-(x/4)^2)
тогда
sin2t=2*(x/4)*sqrt(1-(x/4)^2)=x*sqrt(4-x^2)

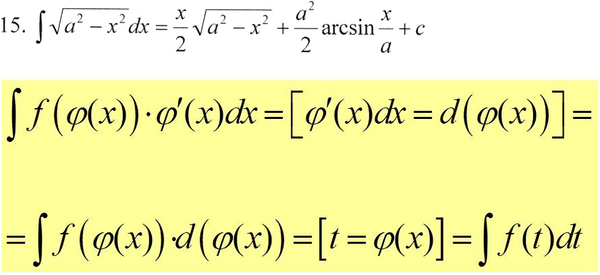
можно воспользоваться методом интегрирования по частям, с помощью которого легко выводится формула в общем виде
см. приложение ( формула 15)
О т в е т. 2arcsinx +x*sqrt(4-x^2)+C

2.
Можно сделать замену переменной
t=lnx
dt=(lnx)`dx
dt=dx/x
но придется менять предела интегрирования.

Применяем тот же метод замены, но в обратном направлении
(см. приложение 2), этот метод называют "подведением под дифференциал".
Новая переменная t присутствует, но "в уме"

dx/x=d(lnx)

∫^(2)_(1) ([b]ln^2x[/b])d([b]lnx[/b])=(ln^3x/3)|^2_(1)=

=((ln2)^3-(ln1))/3=(ln2)^3/3

Написать комментарий