Задать свой вопрос   *более 50 000 пользователей получили ответ на «Решим всё»

Метод замены переменной

Практика (20)

Найти интеграл напрямую

Здравствуйте, можете помочь решить пример, буду благодарен. Спасибо!
Тема: Интегралы

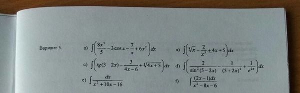
5.3 задание а и б вариант

Вычислить интеграл с заменой для тригометр. функций 2) xdx/(√5-4x

Решить неопределенные интегралы

решите подробно ∫ sqrt(a^2-x^2)dx

Интегрированние подстановкой

∫ (0 to ln 2) dz / (e^z + 1) .

∫ 3dx / (4 - 5x)

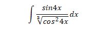
∫ (sin4x) / (3√(cos²4x)) dx

Пятое задание (Найдите неопределённые интегралы) под з, м, т

∫ (3^x/ sqrt(9^x-10)dx

Нужна помощь с интегралами.

1.Найдите указанные неопределенные интегралы.
2.Вычислите указанный определенный интеграл, используя
формулу Ньютона–Лейбница

Решить интегралы.3,7,8,9,10

Задание№1 Вычислить интегралы a) ∫ sin(3x-п/3)Умножить на dx
б)
25
∫ (1/sqrt(x) -1) умножить на dx
9
в) ∫ x/7+x^(2) dx (замена t=7+x^(2))

∫( 1 + x^2 )^(-1)
-----------------------
arctg x - 10 dx

Решить задание под буквой А И В 1 варианта
Решить неопределенный интеграл и выполнить проверку дифференцированием