Задать свой вопрос
*более 50 000 пользователей получили ответ на «Решим всё»
Задача 37858
...
Условие
vk448340035
2019-06-02 09:22:42
математика ВУЗ
820
Все решения
sova
2019-06-02 12:42:59
Написать комментарий
Категории
ИНТЕГРАЛЫ
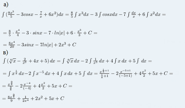
Непосредственное интегрирование
ИНТЕГРАЛЫ
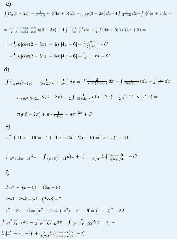
Метод замены переменной
Меню
Решим всё
Найти задачу
Категории
Статьи
Тесты
Архив задач
Присоединяйся в ВК