Задать свой вопрос
*более 50 000 пользователей получили ответ на «Решим всё»
Задача 31913
...
Условие
faraon
2018-12-14 00:48:36
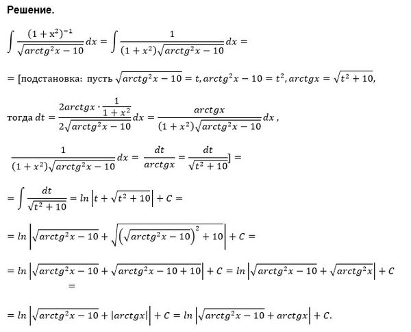
∫( 1 + x^2 )^(-1)
-----------------------
arctg x - 10 dx
математика ВУЗ
998
Все решения
sova
2018-12-16 14:43:38
u821511235
2018-12-14 11:52:56
Написать комментарий
Категории
ИНТЕГРАЛЫ
Непосредственное интегрирование
ИНТЕГРАЛЫ
Метод замены переменной
Меню
Решим всё
Найти задачу
Категории
Статьи
Тесты
Архив задач
Присоединяйся в ВК