Задать свой вопрос
*более 50 000 пользователей получили ответ на «Решим всё»
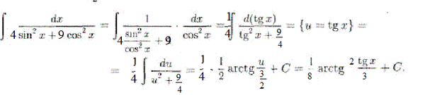
Задача 31812
Решение ...
Условие
vk380208912
2018-12-11 14:05:29
Решение
предмет не задан
854
Решение
sova
2018-12-11 14:30:01
★
Написать комментарий
Категория
ИНТЕГРАЛЫ
Интегрирование тригонометрических функций
Меню
Решим всё
Найти задачу
Категории
Статьи
Тесты
Архив задач
Присоединяйся в ВК