Задать свой вопрос   *более 50 000 пользователей получили ответ на «Решим всё»

Задача 33734 ...

Условие

12. ∫ x^5 - 2x + 3 dx / x^2 + 2x

14. ∫ 2cos^4y dy

16. ∫ dx / cos^3(x/4)

17. ∫ ctg^(3) (2/3) x dx

математика ВУЗ 1050

Решение

12.
Неправильная дробь. Выделяем целую часть. Делим числитель на знаменатель "углом".
или так
x^5-2x+3=x^2*(x^3+2x)-2x^3-4x+2x+3=x^2*(x^2+2x)-2(x^3+2x) + 2x+3


[b] (x^5-2x+3)/(x^3+2x) = (x^2-2)+ (2x+3)/(x^3+2x)[/b]

Раскладываем правильную дробь на простейшие

x^3+2x=x(x^2+2)

(2x+3)/(x^3+2x) = (A/x) + (Mx+N)/(x^2+2)

2x+3=A*(x^2+2) + (Mx+N)*x

2x+3= (A+M)x^2+Nx+2A
A+M=0
2=N
3=2A
A=3/2
M=-A=-3/2

[b] ∫ (x^5-2x+3)dx/(x^3+2x) = ∫ (x^2-2)dx+ ∫(2x+3)dx/(x^3+2x)[/b]=

= ∫ (x^2-2)dx+ (3/2) ∫dx/x + ∫ ((-3/2)x+2)dx/(x^2+2)=

=(x^3/3)-2x+(3/2)ln|x| -(3/4)ln(x^2+2) + 2*(1/sqrt(2))arctg(x/sqrt(2))+C

∫dx/x =ln|x| - табличный

∫ хdx/(x^2+2)= замена u=x^2+2; du=2xdx; xdx=(1/2)du по формуле
∫du/u =ln|u|

∫dx/(x^2+2) =табличный ∫dx/(x^2+a^2)=1/a arctg(x/a)

14.
2cos^4y=2(cos^2y)^2=2*((1+cos4y)/2)^2=(1/2)*(1+2cos4y+cos^24y)=

=(1/2)*(1+2cos4y+(1+cos8y)/2)=(1/2)*((3/2)+2cos4y+(1/2)cos8y)

∫ 2cos^4ydy= (3/4) ∫ dx + ∫ cos4y dy +(1/4) ∫ cos8ydy=

=(3/4) ∫ dx + (1/4) ∫ cos4y d(4y) +(1/32) ∫ cos8y d(8y)=

=(3/4)x +(1/4)(sin4y) +(1/32)(sin8y) +C

16.
1/cos^3α=cosα/cos^4α
cos^4α=(cos^2α)^2=(1-sin^2α)^2

Замена
sin(x/4)=u; du=cos(x/4)*(x/4)`dx
du=(1/4)cos(x/4)dx
cos(x/4)dx=4du

∫ dx/cos^3(x/4)= ∫ 4du/(1-u^2)^2 = 4∫du/((u-1)(u+1))^2

-интеграл от правильной дроби. Разложить на 4 простейших

1/(1-u^2)^2= A/(u-1)+ B/(u-1)^2 + D/(u+1)+ F/(u+1)^2
1=A(u-1)(u+1)^2+B(u+1)^2+D(u+1)(u-1)^2+F(u-1)^2
u=1
1=4B
B=1/4
u=-1
1=4F
F=1/4
Осталось найти В и D


17.
ctg^4 α =ctg^2 α *ctg^2 α =ctg^2 α *(1/sin^2 α - 1)=

=ctg^2 α/sin^2 α - ctg^2 α = ctg^2 α/sin^2 α - (1/sin^2 α - 1)=

=ctg^2 α/sin^2 α - 1/sin^2 α + 1

∫ ctg^4(2x/3)dx= ∫ ctg^2(2x/3)dx/sin^2(2x/3)dx - ∫ dx/sin^2(2x/3) + ∫ dx

замена
(2х/3)=u
x=(3/2)u
dx=(3/2)du

=∫ ctg^2(2x/3)dx/sin^2(2x/3) - ∫ dx/sin^2(2x/3) + ∫ dx=

=∫ ctg^2u*(3/2)du/sin^2u - ∫ (3/2)du/sin^2u + ∫ dx=

=(3/2) ∫ ctg^2ud(ctgu) -(3/2) ∫ du/sin^2u + ∫ dx =

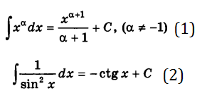
первый интеграл по формуле (1); второй по формуле (2)

=(3/2)сtg^3(2x/3) - (3/2)(-ctg(2x/3)) + x + C=

=(3/2)сtg^3(2x/3) +(3/2)*(ctg(2x/3)) + x + C=

Написать комментарий

Категории

Меню

Присоединяйся в ВК