Задать свой вопрос   *более 50 000 пользователей получили ответ на «Решим всё»

Задача 32129 ...

Условие

∫ x^(4) / x^(2) - 1 dx

математика 10-11 класс 1088

Решение

∫ x^4dx /( x^2 – 1)=∫ (x^4-1+1)dx /( x^2 – 1)=

=∫ (x^4-1)dx /( x^2 – 1)+ ∫ (1dx /( x^2 – 1))=

= ∫ (x^2+1)dx)+ ∫ (1dx /( x^2 – 1))=

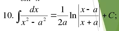
=(x^3/3)+x + (1/2) ln |(x-1)/(x+1)| + C

Написать комментарий

Категория

Меню

Присоединяйся в ВК