Задать свой вопрос   *более 50 000 пользователей получили ответ на «Решим всё»

Задача 34924 ...

Условие

∫ (1+3x)/( sqrt(1+4x^(2))dx
Решите пожалуйста!!

математика ВУЗ 1065

Все решения

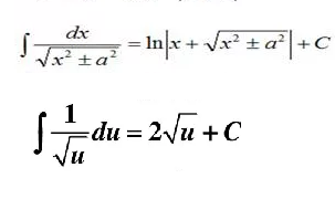
Интеграл от суммы равен сумме интегралов:

= ∫ dx/sqrt(1+4x^2)+ ∫ 3xdx/sqrt(1+4x^2)=

=(1/2) ∫ d(2x)/sqrt(1+(2x)^2)+(3/8) ∫ d(1+4x^2)/sqrt(1+4x62)=

=(1/2)ln|2x+sqrt(1+4x^2)|+(3/8)*2sqrt(1+4x^2) + C=

[b]=(1/2)ln|2x+sqrt(1+4x^2)|+(3/4)*sqrt(1+4x^2) + C[/b]

Написать комментарий

Категория

Меню

Присоединяйся в ВК