Задать свой вопрос   *более 50 000 пользователей получили ответ на «Решим всё»

Задача 33629 Решить интеграл (2^(2х)-1)/sqrt(2^x)...

Условие

Решить интеграл
(2^(2х)-1)/sqrt(2^x)

математика ВУЗ 854

Решение

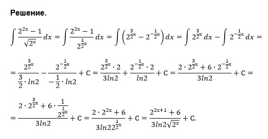
Почленно делим каждое слагаемое в числителе на знаменатель.

(2^(2x) - 1)/sqrt(2^(x))= (2^(2x) - 1)/((2^(x))^(1/2)=

=(2^(2x) /(2^(x))^(1/2) - 1 /(2^(x))^(1/2) =

применяем свойство степени (a^(m))^(n)=a^(mn)=

(2^(2x) /(2^((1/2)*x)) - 1/(2^((1/2)*x)) =

применяем свойство степени a^(m)/a^(n)=a^(m-n)=

= 2^((2x)-(x/2)) - 2^(-(x/2))= 2 ^(3x/2) - 2^(x/2)


∫(2^(2x) - 1)dx /sqrt(2^(x))= ∫ (2 ^(3x/2) - 2^(x/2))dx=

Интеграл от суммы равен ( разности) сумме ( разности) интегралов:

= ∫ (2 ^(3x/2))dx - ∫ (2^(x/2))dx=

табличный интеграл

[b] ∫ a^(u)du=a^(u)/lna + C[/b]

Cчитаем первый интеграл

u=(3/2)x
du=(3/2)dx

dx=(2/3)du

∫ (2 ^(3x/2))dx = ∫ (2 ^(u))*(2/3)du= (2/3) ∫ 2^(u)du=(2/3)2^(u)/ln2

обратный переход

=(2*2^((3/2)x)/(3ln2)=2^((3/2)x+1)/(3ln2)

Cчитаем второй интеграл
Здесь за u принимаем
u=(-1/2)x
du=(-1/2)dx

dx=(-2)du

∫ (2 ^(-x/2))dx = ∫ (2 ^(u))*(-2)du= (-2) * ∫ 2^(u)du=(-2)2^(u)/ln2

обратный переход

=-2*2^(-x/2)/ln2

О т в е т. 2^((3/2)x+1)/(3ln2) + 2^((-x/2)+1)/ln2 + С

Все решения

Написать комментарий

Категория

Меню

Присоединяйся в ВК