Задать свой вопрос   *более 50 000 пользователей получили ответ на «Решим всё»

Задача 35164 23 задача Найти неопределенные интегралы...

Условие

23 задача Найти неопределенные интегралы

математика ВУЗ 955

Все решения

Интеграл от суммы равен сумме интегралов:
∫ (2x-7)dx/(x^2-5)= ∫ 2xdx/(x^2-5) -7 ∫ dx/(x^2-5)

Считаем первый:
∫ 2xdx/(x^2-5) = [замена x^2-5=t; d(x^2-5)=dt; 2xdx=2tdt]=

= ∫ dt/t=ln|t|+C=ln|x^2-5|

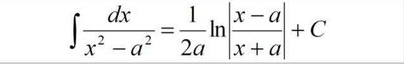
Второй табличный.
cм. приложение.

Написать комментарий

Категория

Меню

Присоединяйся в ВК