Задать свой вопрос   *более 50 000 пользователей получили ответ на «Решим всё»

Задача 33692 ...

Условие

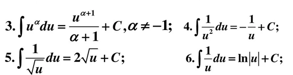
1681. ∫(dx / 2√x)

математика ВУЗ 740

Решение

=(1/2) ∫ x^(-1/2)dx=(1/2)*x^((-1/2)+1)/((-1/2)+1) + C=

=x^(1/2)+C=sqrt(x)+C

Полезно запомнить как формулу
(sqrt(x))`= 1/(2*sqrt(x))

∫ dx/(2*sqrt(x))= sqrt(x)+ C

Написать комментарий

Категория

Меню

Присоединяйся в ВК