Задать свой вопрос   *более 50 000 пользователей получили ответ на «Решим всё»

ПРОИЗВОДНАЯ и ее применение

О категории

Нахождение производных по формулам и правилам. Уравнение касательной и нормали. Наибольшее, наименьшее значение

Подкатегории (3)

Практика (47)

Проверить справедливость теоремы Лагранжа для функции f(x) на данном отрезке,найти соответствующее значение c (если оно существует):

f(x)=1/x,[1/3;1/2]

Используя определение, доказать, что функция y = |x| не является дифференцируемой в точке x_0 = 0

Проверить справедливость теоремы Лагранжа для функции f(x) на данном отрезке, найти соответствующее значение с (если оно существует):

f(x) = |x-1|; [0; 3]

f(x)/f'(x) ≥ 0, если

а) f(x)=x^4-4x^2

б) f(x) = ((x+1)/(x+2))^2

Найдите приближенное значение указанной величины с помощью дифференциалов соответствующих функций с точностью до 0, 001.

sin 44◦

Вариант 18

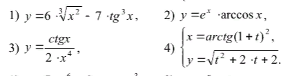
1) Вычислить производную функции:

2) Вычислить частные производные функций нескольких переменных:

3) Найти экстремальные точки функции:
у = (x-1)(x-2)
Определить наличие максимума (минимума) в этих точках.

Задание 14. Найти приближенное значение с точностью 0,001.

Помогите решат задачу Спасибо

Пожалуйста, помогите найти приближенное значение с точностью 0,001.
0,93^(5)

Найдите наибольшее и наименьшее значение функции [block]y=(x^2+4)/(x)[/block] на отрезке [1; 3]

Пожалуйста помогите с мат.анализом

Найти дифференциалы функций:
y=2^(cos x)

Помогите пожалуйста с 862 номером!!!

Помогите решить пожалуйста! Изображение 1

3. Написать уравнения касательной и нормали к кривой [m] y = 2 \sin x [/m] в точке [m] M \left( \frac{\pi}{6}, 1 \right) [/m]. Сделать чертёж. Определить по чертежу знак производной [m] y'(x_0) [/m] при [m] x_0 = \frac{\pi}{2} [/m], ответ обосновать.

Найти производную(с пояснением):sh(ln(tg2x)), где sh - гиперболический синус .

Найти производную

cos^2(x + y) = x * y

помогите решить пожалуйста
составить уравнения касательной и нормали к кривой, найти min max значение функции, исследовать функции
срочно!

Найдите наибольшее значение функции y = 2^(2 - cosx) на отрезке [π/2; 5π/3]

7*. Используя определение производной, найти f' (x_0) для функции
f(x) = √(2 - x), x_0 = -7.

Написать уравнение касательной к кривой: y = √x - 2, зная, что эта касательная перпендикулярна прямой 4х - у = 0.

y=arctg^(3)(2x-1) найдите производную

При каких значениях X, производная функции f(x)=1+2/x положительна ???

Напишите уравнение касательной к графику функции f(x)=e1–x точке с абсциссой x0=1

найдите производные функций:
а) Y= x/√(4-x); б)y=ln⁡〖(1+〗 x^2)

Прямая y = -x - 3 является касательной к графику функции y = x^3 - 3,5x^2 + x - 1. Найдите абсциссу точки касания.

y=[m]\sqrt[3]{sin4x}[/m]
y' - ?

Разложить функцию в ряд Тейлора по степеням х; в ответе записать первые три отличные от нуля элемента ряда y=(arcsin x)/(x-1)

Найти производную от функции

найти производную от функции

1) 7cos5x-2^(x+3)
2) sin4x*e^(3x)+(cos4x)^x
...

(x+y)y’=x-y найти дифференциал функции

y’=2x-3 найти дифференциал функции

найдите производную функции y=(3x-5)^7-6cos2x+2

найдите тангенс угла наклона касательной к графику функции y=(5x-8)^9 в точке x_(0)=-1

Вычислить производную функции
y=(sinx)^(x^2)

НАПИСАТЬ УРАВНЕНИЕ КАСАТЕЛЬНОЙ К ГРАФИКУ ФУНКЦИИ f(x)= 2X^2(xвквадрате) +1 В ТОЧКЕ С АБСЦИССОЙ х = -1.

Найти производную функции

y = x² + ln(x² + 1) tg³(5 cos x - 7)

y' =

Найти производные заданных функций, пользуясь правилами дифференцирования.

Найдите производную ПЕРВЫЙ ПРИМЕР
Пожалуйста, очень нужен развёрнутый ответ, препод требует детально расписывать каждый шаг

Найти производные первого порядка данной функции, используя правила
вычисления производных.

3.25. y = ctg 1/x · arccos x⁴.

11.25. [m]y = \sqrt[7]{\frac{7x-4}{7x+4}} \arsin(x^2+1)[/m].

Найдите производную!!! f(x)=cos(x)-2sin^2(x)+1

Редакторы (1)

SOVA

Создатель