

вычислить производную функции f(x)=(√x+1)^5+3cos3x
НЕ ПРОХОДИЛИ ПРИМЕРЫ , ТОЛЬКО ТЕОРИЯ БЫЛА
Пользуясь правилами и формулами дифференцирования ,для функции f(x) найдите производную первого порядка:
1) f(x)=2arccos4x+2√3;
2)f(x)=arcctg4x+2x-7;
3)f(x)=sin^2 3x+ 1/6cos6x-x;
4)f(x)=sin^4 3x+4x;
5)f(x)=cos^5 2x-4√5x;
6)f(x)=x+3)x-5 -2x+πx.


1)f(x)=(3x–1)2
2)f(x)=(1-2x)^3
4)f(x)=2-(1+2x)^-4
f(x) = ln(-2 · x^2 - 2 · x + 8).
Найдите f'(-2).
а) y=5x4–37√x3+7/x5+4
б) y=x3sin x;
в) y=(x4+1)/(x4–1)
г) y=(x5+3x–14);
д) y=3^√((x+1))/(x3–1))2.
дифференцирования), Найти производную функции y=1/x^2
[m]x = \arcsin \sqrt{t}, y = \sqrt{1 + \sqrt{t} }[/m]
f(x) = tg*(5x)
a) y = log₇ x
б) y = ln x
в) y = 2ˣ
г) y = 5ˣ
д) y = e⁴ˣ
a) y = (6x^2 - 2/x^4 + 5)^2
y=x/(x^2-1)

2.1. y = x²eˣ.
2.2. y = √cos x.
2.3. y = (x - 3) / x³.
2.4. y = e^(-√x).
а)
x = sin 3t
y = 5 cos 3t , y_хх;
б)
x = 3t^3 + 5t
y = 5t^2 - 4t^3 , y_хх.
а) y = ln(x + у), y";
б) x³ - y² = x³y³, y'.
y = arctg² ctg x, x₀ = π/6.
Срочно надо☹️
2. [m]y = -\frac{15}{x} + 2\sqrt{x} - ctg{x}[/m]
Срочно надо
Пожалуйста!
a) y = (e^x+lnx)/(e^x-lnx)
б) y = sqrt(x)(x^5+sqrt(x)-2)
а) y=lnsqrt(x^5 - 4x^2+3) ; б) y=tg3x - 2cos4x ; в) y=e^sqrt(sin4x) ; г) y=[m]\frac{2cos^2x}{sinx}[/m]
x=cost,y=sint,y′′_(xx)=?
1)f(x)=arcsin2x;
2)f(x)=arccos5x;
3)f(x)=arctg3x;
4)f(x)=x^2-arccos2x
4) [m] y = (2x - 9)^{10} + \sqrt{3x - 1} [/m]
5) [m] y = \frac{(8 - 5x)^4}{(2x - 4)^3} [/m]
3) y = (4x^3 - 9x^2 + 3x - 1/3)^4
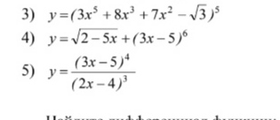
"Нахождение производной и дифференциала функции".
Вариант 3
Найдите производную функции:
1) [m] y = \frac{4}{x} + 5 \sqrt{x} +ctg 2x + 5^x [/m]
2) [m] y = sin \left( x - \frac{\pi}{4} \right) - tg \left( x + \frac{\pi}{6} \right) [/m]
1) y = ln(3x + 2^x)
2) y = ln(sin 5x)
a) y = (4x - 3)^(arccosx) ,
б) y = (x - 3)^7 · (x + 2^(3x)) · 8^(cos3x).
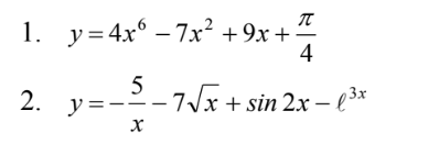
3) y = (4x^6 - 7x^2 + 9x + π/4)^4
4) y = (9x - 1)^5 + √(5 - x^2)
5) y = ((5 - 2x)^3) / (3x + 7)^4
А затем найти вторую производную.