Задать свой вопрос   *более 50 000 пользователей получили ответ на «Решим всё»

Задача 34906 Найдите производную ПЕРВЫЙ...

Условие

Найдите производную ПЕРВЫЙ ПРИМЕР
Пожалуйста, очень нужен развёрнутый ответ, препод требует детально расписывать каждый шаг

математика 10-11 класс 1299

Решение

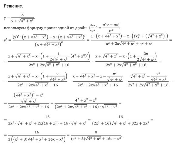
По формуле [b]производная дроби[/b] (частного ):
(u/v)`=(u`*v-u*v`)/v^2

u=x
v=x+sqrt(4^2+x^2)

u`=1
v`=(x+sqrt(4^2+x^2))`= [b]производная суммы[/b] равна сумме производных

=(x)`+(sqrt(4^2+x^2))` =(x)`+(4^2+x^2)^(1/2)
по формуле производной [b]степенной функции [/b]для [b]сложной [/b]функции [b] u=u(x)[/b] ( конце умножаем на u`)

[b](u^( α ))`= α *u^( α -1)[/b]* u`

u=4^2+x^2

α =1/2

=(1)+ (1/2)*(4^2+x^2)^((1/2)-1)* [b](4^2+x^2)`[/b]= 1+(1/2)*(4^2+x^2)^(-1/2)*(2x)=

=1+ (x/sqrt(4^2+x^2))

Итак,

y`= [b]( [/b](x)`*(x+sqrt(4^2+x^2))-x*(x+sqrt(4^2+x^2))` [b])[/b]/(x+sqrt(4^2+x^2))^2

y`= [b]([/b]1*(x+sqrt(4^2+x^2) - x*(1+ (x/sqrt(4^2+x^2)) [b])[/b]/(x+sqrt(4^2+x^2))^2

y`= [b]([/b]x + sqrt(4^2+x^2) -x - (x^2/sqrt(4^2+x^2)) [b] )[/b]/(x+sqrt(4^2+x^2))^2

y`= [b]([/b]sqrt(4^2+x^2) - (x^2/sqrt(4^2+x^2)) [b])[/b]/(x+sqrt(4+x^2))^2

y`= [b]([/b](4^2+x^2-x^2)/sqrt(4+x^2) [b])[/b]/(x+sqrt(4+x^2))^2


[b]y`=4^2/((sqrt(4^2+x^2))*(x+sqrt(4^2+x^2))^2) [/b] - о т в е т.

Знаменатель не надо возводить в квадрат и раскрывать скобки, это лишняя, никому не нужная работа.

В задаче [b]четыре момента[/b], связанных с вычислением производной:
1) производная дроби
2) производная суммы
3) производная степенной функции
4) правило вычисления производной сложной функции

Все решения

Написать комментарий

Категория

Меню

Присоединяйся в ВК