Задать свой вопрос
*более 50 000 пользователей получили ответ на «Решим всё»
Задача 57642
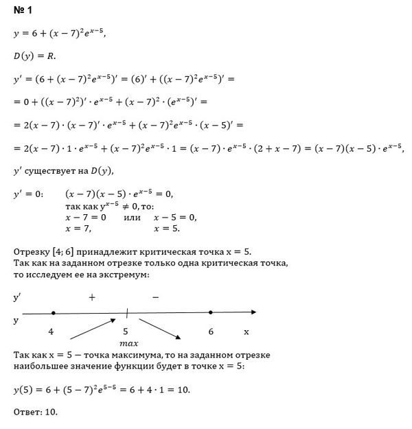
Найдите наибольшее значение функции y =...
Условие
slava191
2021-02-11 16:15:45
Найдите наибольшее значение функции y = 6+(x-7)^2e^(x-5) на отрезке [4; 6]
математика 10-11 класс
2462
Решение
Ответ:
10
Написать комментарий
Категория
ЕГЭ по Математике (проф.)
Задание 12 (мин, макс)
Меню
Решим всё
Найти задачу
Категории
Статьи
Тесты
Архив задач
Присоединяйся в ВК