
{2x^2-4x+6>0 при любом х, так как D <0
{x^2+x>0 ⇒x(x+1) > 0 _+__ (-1) __ (0) _+_ ⇒ x < -1; x >0
{2^(x) ≠ 1 ⇒ 2^(x) ≠ 2^(0) ⇒ x ≠ 0
[red]x ∈ (- ∞ ;-1) U (0;+ ∞ )[/red]
Если
2^(x)>1 логарифмическая функция[i] возрастает[/i], тогда
2x^2-4x+6 ≤ x^2+x
Если
2^(x)<1 логарифмическая функция[i] убывает[/i], тогда
2x^2-4x+6 ≥ x^2+x
Вместо того чтобы решать две системы,
в которых одинаковые выражения отличающиеся знаками:
{2^(x)>1 ⇒ 2^(x)-1[b]>[/b]0
{2x^2-4x+6 ≤ x^2+x ⇒ 2x^2-4x+6 -(x^2+x)[b]≤[/b]0
или
{2^(x)<1 ⇒ 2^(x)-1[b]<[/b]0
{2x^2-4x+6 ≥ x^2+x⇒ 2x^2-4x+6 -(x^2+x)[b] ≥ [/b]0
рассматривают [i]произведение[/i]:
(см. также [i]метод рационализации[/i] логарифмических уравнений):
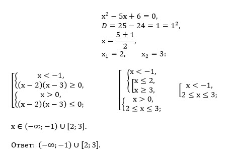
(2^(x)-1)*(2x^2-4x+6-x^2-x) [b]≤[/b] 0
(2^(x)-1)*(x^2-5x+6) [b]≤[/b] 0
__-__ (0) __+__ [2] __-__ [3] _+__
(- ∞ ;0) U(2;3)
С учетом[b] ОДЗ[/b]
О т в е т. [b](- ∞ ;-1)U[2;3][/b]