Задать свой вопрос   *более 50 000 пользователей получили ответ на «Решим всё»

Задача 45317 ...

Условие

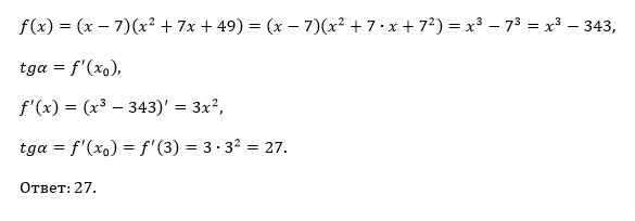
Найди тангенс угла наклона касательной, проведённой к графику функции f(x) = (x - 7)(x^2 + 7x + 49) в точке с абсциссой x₀ = 3.

предмет не задан 915

Все решения

Геометрический смысл производной в точке

[r]f`(x_(o))=tg α ,[/r]

где α - угол наклона касательной к кривой y=f(x) в точке с абсциссой
x_(o)

Находим производную.

Применяем правило производной произведения:

f `(x)=(x-7)`*(x^2+7x+49)+(x-7)*(x^2+7x+49)`

f `(x)=1*(x^2+7x+49)+(x-7)*(2x+7)

f`(x)=x^2+7x+49+2x^2-14x+7x-49

f`(x)=3x^2

[b]f`(x_(o))[/b]= f `(3)=3*3^2=27

[b]tg α[/b] =27

О т в е т. 27

Написать комментарий

Категория

Меню

Присоединяйся в ВК