Задать свой вопрос   *более 50 000 пользователей получили ответ на «Решим всё»

Задача 45243 Задана функция y=f(x).Установить...

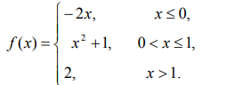
Условие

Задана функция y=f(x).Установить ,является ли данная функция непрерывной.В случае разрыва функции в некоторой точке найти её пределы слева и справа.Построить схематично график функции

математика 1849

Решение

На (- ∞ ;0) функция непрерывна, так как y=-2x непрерывна на (- ∞ ;+ ∞ )

На (0;1) функция непрерывна, так как y=x^2+1 непрерывна на (- ∞ ;+ ∞ )

На (1;+ ∞ ) функция непрерывна, так как y=2 непрерывна на (- ∞ ;+ ∞ )

Значит, надо выяснить непрерывность функции в точке х=0 и х=1

Находим [green]предел слева:[/green]
lim_(x → -0)f(x)=lim_(x → -0)(-2x)=0

Находим [red]предел справа:[/red]
lim_(x → +0)f(x)=lim_(x → +0)(x^2+1)=1
предел слева ≠ пределу справа

Значит, не существует предела функции в точке х=0

Определение непрерывности не выполняется

х=0 - [i]точка разрыва первого рода [/i]

В точке существует [i]конечный[/i] скачок

х=1
Находим [green]предел слева:[/green]
lim_(x →1 -0)f(x)=lim_(x → 1-0)(x^2+1)=2

Находим [red]предел справа[/red]:
lim_(x →1 +0)f(x)=lim_(x → 1+0)(2)=2

предел слева = пределу справа
Предел в точке x=1 существует



х=1 - [i]точка непрерывности[/i]

Написать комментарий

Категория

Меню

Присоединяйся в ВК