Задать свой вопрос   *более 50 000 пользователей получили ответ на «Решим всё»

Пределы, непрерывность.

Подкатегории (7)

Практика (14)

срочно до завтра лимит 4

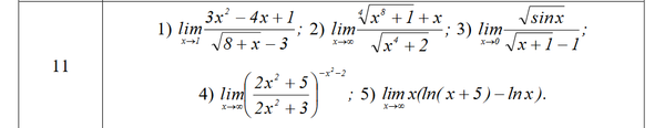
Вычислить пределы функций, не используя правило Лопиталя
(вариант на фото)

Помогите пожалуйста :)

Помогите пожалуйста решить

Помогите пожалуйста решить - а), б)

Помогите решить - в), г)

Помогите решить в) и г)

Помогите решить а) и б)

помогите решить в) и а)

Lim x(ln(x-1)-ln(x+3)). Помогите,пожалуйста. Только не правилом Лопиталя
(x->оо)

Lim x^2/1-cos(4x)^2. Помогите,пожалуйста. Только не по правилу Лопиталя
(x->о)

Есть вот такой предел:limit (((2+n)^(100)-n^(100)-200n^(99))/(n^(98)-10n^(2)+1)) as n->infinity. ответ 19800. у меня получился данный ответ раскрытием слагаемого (2+n)^(100). Но потом я решил сделать по другому и получился ответ 0. вот как я сделал во второй раз: 1)разделил числитель и знаменатель на n^(98), в итоге в знаменателе выходит: 1-10/n^(96) + 1/n^(98) --> 1. то есть остается рассмотреть только числитель. 2) разделим числитель на слагаемое (2+n)^(100). Получается limit (1/n^(98))-((n^(2)+200n)/(2+n)^(100)) as n->infinity. данный предел равен 0. 0/1=0. почему вторым способом ответ другой? P.s, если не ясны пределы, просто скопируйте в wolframalpha.com. Заранее спасибо

Найти предел n⇛ &

Xn=(1+2+...+n)/3+2n^3

Вычислить пределы функций, не пользуясь средствами дифференциального исчисления.

Редакторы (1)

SOVA

Создатель