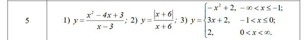
Область определения (- ∞ ;3) U(3;+ ∞ )
Так как
x^2-4x+3=(x-1)(x-3)
то
y=(x-1)(x-3)/(x-3)
сокращаем на (x-3) при условии х ≠ 3
Получаем функцию
y=x-1, x ≠ 3
График этой функции - прямая y=x-1 на которой отсутствует точка с абсциссой
Точка х=1 - точка[i] устранимого разрыва[/i]
В этой точке предел слева равен пределу справа, но функция в точке не определена.
2)
Область определения: (- ∞ ;-6) U(-6;+ ∞ )
При x+6 > 0 |x+6|=x+6
y=1
При x+6 < 0, т.е. при x < -6
|x+6|=-x-6
y=-1
x=-6 - точка разрыва первого рода.
Функция имеет конечный скачок в точке.
3)На (- ∞ ;-1) функция непрерывна, так как y=-x^2+2 непрерывна на (- ∞ ;+ ∞ ), а значит и на (- ∞ ;-1)
На (-1;0) функция непрерывна, так как y=3x+2 непрерывна на (- ∞ ;+ ∞ ), а значит и на (- 1;0)
На (0;+ ∞ ) функция непрерывна, так как y=2 непрерывна на (- ∞ ;+ ∞ ), а значит и на(0;+ ∞ )
Значит, надо выяснить непрерывность функции в точке х=-1 и х=0
Находим [green]предел слева:[/green]
lim_(x → -1-0)f(x)=lim_(x → -1-0)(-x^2+2)=-(-1-0)^2+2=1
Находим [red]предел справа:[/red]
lim_(x → -1+0)f(x)=lim_(x → -1+0)(3x+2)=3*(-1+0)+2=-1
предел слева ≠ пределу справа
Значит, не существует предела функции в точке х=-1
И ЗНАЧИТ
Определение непрерывности не выполняется
х=-1 - [i]точка разрыва первого рода[/i]
в точке х=-1 функция имеет [i]конечный скачок[/i]
х=0
Находим [green]предел слева:[/green]
lim_(x → -0)f(x)=lim_(x → -0)(3x+2)=2
Находим [red]предел справа[/red]:
lim_(x →+0)f(x)=lim_(x → 2+0)(2)=2
предел слева = пределу справа
Предел в точке x=0 существует
значение функции в точке x=0 определено
и равно 2.
х=0 - точка[i] непрерывности[/i]
