Задать свой вопрос
*более 50 000 пользователей получили ответ на «Решим всё»
Задача 34136
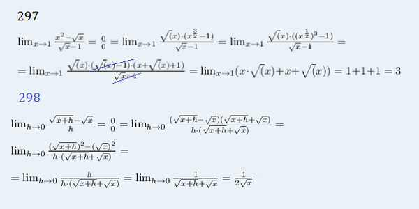
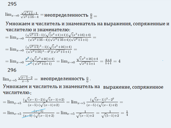
Решить номера 295-299, 304...
Условие
vk297661142
2019-03-03 18:55:05
Решить номера 295-299, 304
математика ВУЗ
969
Все решения
sova
2019-03-03 23:56:26
Написать комментарий
Категория
Пределы, непрерывность.
Вычислить пределы
Меню
Решим всё
Найти задачу
Категории
Статьи
Тесты
Архив задач
Присоединяйся в ВК