Задать свой вопрос
*более 50 000 пользователей получили ответ на «Решим всё»
Задача 34033
...
Условие
anadlug
2019-02-28 00:19:49
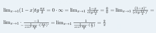
Найти указанные пределы , используя правило Лопиталя
1) lim (1-x)tg(πx/2)
x>1
предмет не задан
2900
Решение
u821511235
2019-02-28 06:56:42
★
Все решения
sova
2019-02-28 08:40:18
Написать комментарий
Категория
Пределы, непрерывность.
Правило Лопиталя
Меню
Решим всё
Найти задачу
Категории
Статьи
Тесты
Архив задач
Присоединяйся в ВК