Задать свой вопрос
*более 50 000 пользователей получили ответ на «Решим всё»
Задача 33744
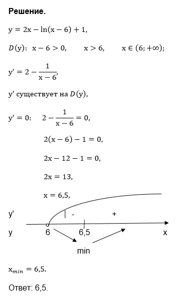
Найти точку минимума функции y =...
Условие
lolokek
2019-02-20 15:08:08
Найти точку минимума функции y = 2x-ln(x-6)+1
математика
1297
Решение
Ответ:
6,5
Все решения
u821511235
2019-02-20 20:44:05
Написать комментарий
Категория
ЕГЭ по Математике (проф.)
Задание 12 (мин, макс)
Меню
Решим всё
Найти задачу
Категории
Статьи
Тесты
Архив задач
Присоединяйся в ВК