Задать свой вопрос
*более 50 000 пользователей получили ответ на «Решим всё»
Задача 32208
найдите наименьшее значение функции...
Условие
meri
2018-12-20 19:22:58
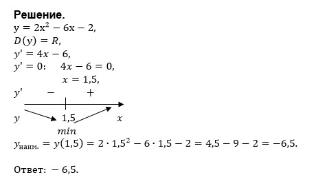
найдите наименьшее значение функции y=2x^2-6x-2
математика 8-9 класс
2564
Решение
u821511235
2018-12-20 19:54:10
★
Написать комментарий
Категория
ЕГЭ по Математике (проф.)
Задание 12 (мин, макс)
Меню
Решим всё
Найти задачу
Категории
Статьи
Тесты
Архив задач
Присоединяйся в ВК