Задать свой вопрос
*более 50 000 пользователей получили ответ на «Решим всё»
Задача 31181
[m]\lim_{x \to 2}...
Условие
vk459344689
2018-11-21 11:46:25
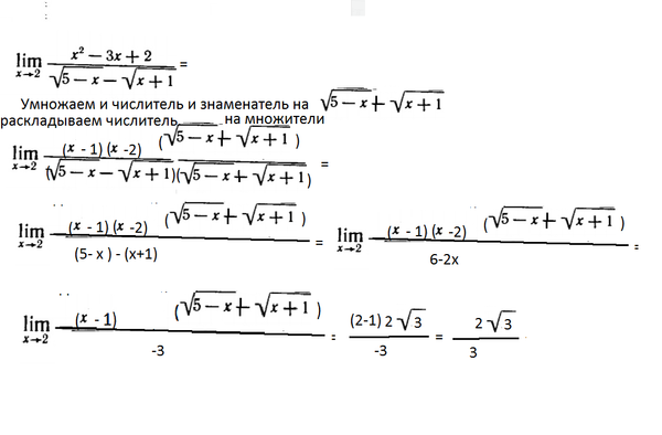
[m]\lim_{x \to 2} \frac{x^2-3x+2}{\sqrt{5-x}-\sqrt{x+1}}[/m]
математика ВУЗ
1203
Решение
sova
2018-11-21 11:59:53
★
Имеем неопределенность (0/0)
Устраняем:
Написать комментарий
Категория
Пределы, непрерывность.
Вычислить пределы
Меню
Решим всё
Найти задачу
Категории
Статьи
Тесты
Архив задач
Присоединяйся в ВК