...
и исследовать поведение в граничных точках интервала.
сходимости исследовать на абсолютную и условную сходимость.
b) ∑ 1 / (3^n - 1) ; n=1 to ∞
Пожалуйста подробно. Очень срочно

Σ (n!)² / (2n)! xⁿ, n=0 to ∞
14) ∑ (2n+1)x^(2n) / n!
Найдите радиус сходимости следующего ряда
решение дифференциального уравнения (определить пять отличных от нуля
членов разложения).
абсолютно.
сходится, то определить, сходится он абсолютно или условно.
2.27
3.27
4.27


∞
∑ 2n(n+1)/5n
n–1
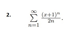
2 Найдите область сходимости ряда.

8 вариант
∑ (-1)^n *1/(n sqrt(3^n));
∑ 1/(9n^2 +1);
∑ 2^n/(n+3)^2 .
Помогите пожалуйста с примером)
Пример на фото
Пожалуйста помогите)
Пример на фото:
Нужна ваша помощь!
Please)
Пример на фото:
Методом последовательного дифференцирования найти первые K членов разложения в степенной ряд решения дифференциального уравнения при указанных начальных условиях.
Нужна помощь пожалуйста)
Пример на фото:
f(x)=x/2-1, x ∈ (0;2).
Построить график суммы ряда Фурье.
∞
Σ (-2/7)ⁿ
n=1
○ -2/5
○ -2/9
○ 2/9
○ 2/5
[m] \sum_{n=2}^{\infty} \frac{12}{4n^2 - 9} [/m]
O 46/15
O 23/15
O 8/3
O 16/15
[m] \sum_{n=1}^{\infty} \frac{1}{(n+3)(n+4)} [/m]
○ 3/4
○ -1/4
○ 1/12
○ 1/4
∞
Σ (4^n - 3^n) / 12^n
n=1
⭕ 1/12
⭕ 1/6
⭕ 5/6
⭕ 7/12
концах интервала
тут в задании нужно исследовать на сходимость, а прежде найти модули рядов.
на сходимость я смогу исслеовать сам, помогите найти модули рядов. заранее спасибо
1,5 ∫ 0 dx/sqrt(81 + x^4)
1+1*2/1*3+1*2*3/1*3*5+...
Создатель