✎ Задать свой вопрос   *более 50 000 пользователей получили ответ на «Решим всё»

Логарифмы

Логарифмом числа b по основанию а (где b>0, a>0, а не равно 1) называют показатель степени в которую нужно возвести a, чтобы получить b
logab=с, тогда и только тогда, когда ac=b

Основное логарифмическое тождество.
alogab=b

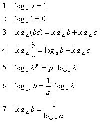
Свойства логарифмов.
(а>0, а не равно 1, b>0, с>0)

Просмотры: 2971 | Статью добавил: slava191 | Категория: математика