✎ Задать свой вопрос
*более 50 000 пользователей получили ответ на «Решим всё»
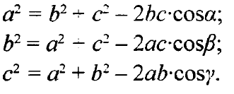
Теорема косинусов
Теорема
. Квадрат любой стороны треугольника равен сумме квадратов двух других его сторон, без удвоенного произведения этих сторон на косинус угла между ними.
Просмотры: 3549 | Статью добавил:
slava191
| Категория:
математика
☰ Меню
Все статьи
аналитическая геометрия
математика
информатика
общее
физика
математический анализ
начертательная геометрия
теория вероятностей
итоговое сочинение
обществознание
биология
химия
Написать статью