Определение
Геометрическая прогрессия - последовательность отличных от нуля чисел, каждый член которой, начиная со второго, равен предыдущему члену, умноженному на одно и тоже число
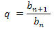
где q - знаменатель геометрической прогрессии
Формула знаменателя геометрической прогрессии:
Формула n-го члена геометрической прогрессии
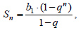
Формула суммы n-первых членов геометрической прогрессии

где, q ≠ 1
Свойства
1) Если q > 0 все члены геометрической прогрессии имеют один и тот же знак, совпадающий со знаком числа b.
2)Если q < 0 знаки членов геометрической прогрессии чередуются.
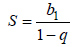
3) В случае -1 < q < 1 прогрессию называют бесконечно убывающей геометрической прогрессией.
4) Суммы членов бесконечно убывающей геометрической прогрессии:
Просмотры: 2679 |
Статью добавил:
slava191 |
Категория:
математика