✎ Задать свой вопрос   *более 50 000 пользователей получили ответ на «Решим всё»

Арифметическая прогрессия

Определение


Арифметическая прогрессия - числовая последовательность, каждый член которой, начиная со второго, равен предыдущему, сложенному с постоянным для этой последовательности числом d(разностью прогрессии)



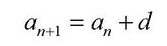
Разность




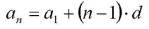
Формула n-го члена




Сумма n первых членов




Свойства


1)



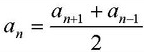
2)


Если d>0, то прогрессия возрастает.
Если d<0, то прогрессия убывает.

Задачи для тренировки


смотреть тут
Просмотры: 2208 | Статью добавил: slava191 | Категория: математика