✎ Задать свой вопрос   *более 50 000 пользователей получили ответ на «Решим всё»

Задания С1 Тригонометрические уравнения теория

Представляю Вашему вниманию всю необходимую теорию для решения задач С1.
При решение тригонометрических уравнений С1 ЕГЭ по Математике необходимо знать следующие формулы:
Формулы, выражающие зависимость между тригонометрическими функциями одного и того же аргумента:



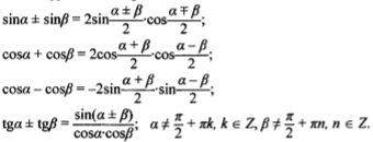
Формулы суммы и разности тригонометрических функций:



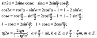
Формулы двойного и половинного аргумента:



Формулы понижения степени:



Формулы преобразования суммы (разности) тригонометрических функций в произведение:



Формулы преобразования произведения тригонометрических функций в сумму:



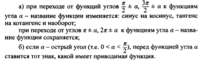
Формулы приведения:



Формулы для нахождения корней тригонометрических уравнений:



Частные случаи решения тригонометрических уравнений:





ЗАДАЧА 844 Решите уравнение


Решите уравнение (2cos^2x cosx-1)sqrt(-sinx)=0
Смотреть решение...

Просмотры: 10300 | Статью добавил: slava191 | Категория: математика