Задать свой вопрос
*более 50 000 пользователей получили ответ на «Решим всё»
Задача 9951
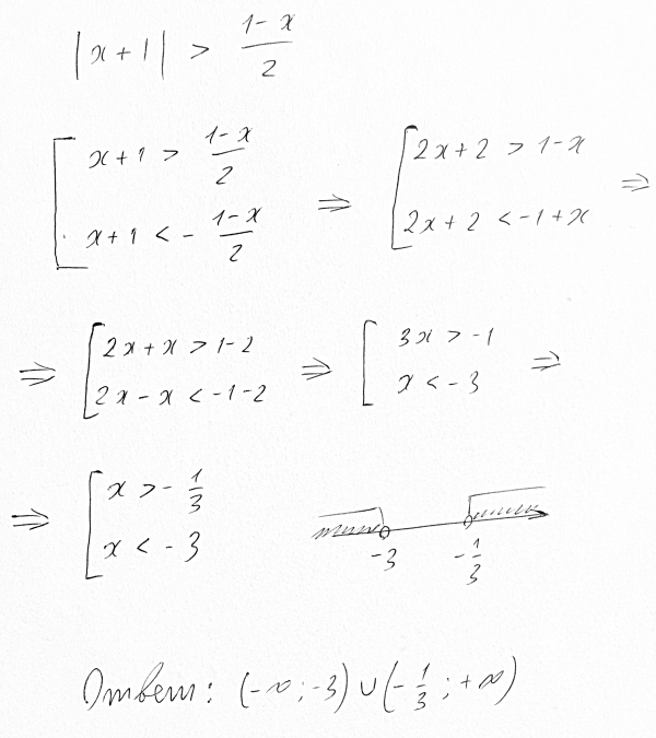
Решить неравенство |x+1| > (1-x)/2...
Условие
slava191
17.09.2016
Решить неравенство |x+1| > (1-x)/2
математика 10-11 класс
1590
Решение
Ответ:
(-бесконечность;-3) U (-1/3; +бесконечность)
Написать комментарий
Меню
Решим всё
Найти задачу
Категории
Статьи
Тесты
Архив задач
Присоединяйся в ВК