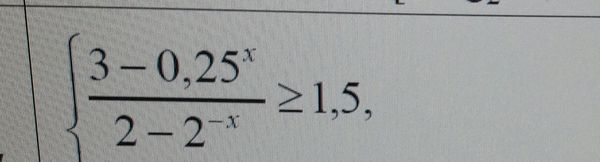
Решить (3-0,25^x)/(2-2^(-x)) больше или равно 1,5
0,5^x - всегда положительно и обе части неравенства можно на это выражение умножить
Почему в 5 строчке, в числителе получилось 1?
0,5^x – всегда положительно, а 0,5^x + 1,5 так тем более. У тебяя получается в числителе выражение, которое в ноль НИ ПРИ КАКИХ Х НЕ ОБРАТИТСЯ, и обе части неравенства можно на это выражение умножить
Почему там где -1,5 перемножали на 2-2^-x перед 1,5×2^-x стоит минус?