Задать свой вопрос
*более 50 000 пользователей получили ответ на «Решим всё»
Задача 9872
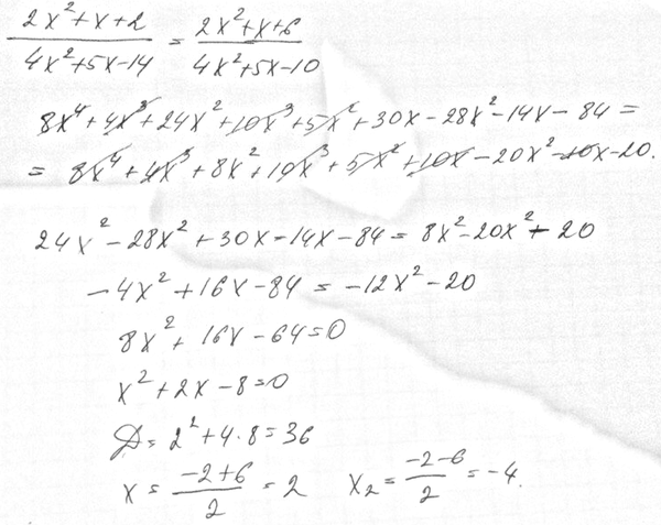
(2x^2+x+2)/(4x^2+5x-14) =...
Условие
slava191
09.09.2016
(2x^2+x+2)/(4x^2+5x-14) = (2x^2+x+6)/(4x^2+5x-10)
математика 10-11 класс
3318
Решение
Ответ:
В решение
Написать комментарий
Меню
Решим всё
Найти задачу
Категории
Статьи
Тесты
Архив задач
Присоединяйся в ВК