Задать свой вопрос
*более 50 000 пользователей получили ответ на «Решим всё»
Задача 9852
Решите неравенство (x^2-x+1)/(x-1) +...
Условие
slava191
07.09.2016
Решите неравенство (x^2-x+1)/(x-1) + (x^2-3x-1)/(x-3) меньше или равно 2x+2
математика 10-11 класс
18288
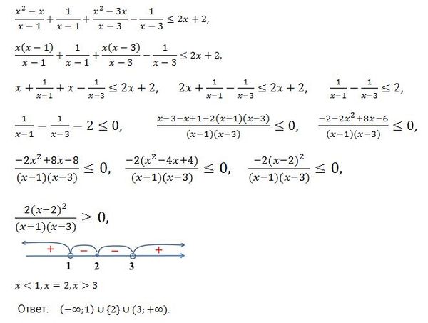
Решение
vygar
07.09.2016
★
Написать комментарий
Меню
Решим всё
Найти задачу
Категории
Статьи
Тесты
Архив задач
Присоединяйся в ВК