Задать свой вопрос   *более 50 000 пользователей получили ответ на «Решим всё»

Задача 9802 1) 90*(sqrt(2)/(sqrt(2)-sqrt(3)) -...

Условие

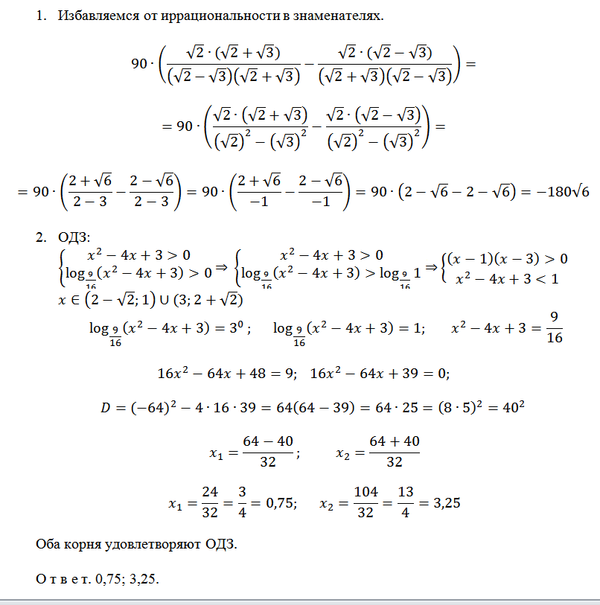
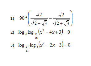
1) 90*(sqrt(2)/(sqrt(2)-sqrt(3)) - sqrt(2)/(sqrt(2)+sqrt(3)))
2) log3log(9/16)(x^2-4x+3) = 0
3) log(27/11)log5(x^2-2x-3) = 0

математика 10-11 класс 2107

Решение

Решение.

Написать комментарий

Меню

Присоединяйся в ВК