Задать свой вопрос   *более 50 000 пользователей получили ответ на «Решим всё»

Задача 9707 Найдите значение выражения 1/6x -...

Условие

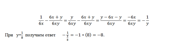
Найдите значение выражения 1/6x - (6x+y)/(6xy) при x=sqrt(32), y=1/8

математика 8-9 класс 35670

Решение

Приводим к общему знаменателю.
(у-(6х+у))/(6ху)=(у-6х-у)/(6ху)=
=(-6х)/(6ху)=-1/у

при у=1/8 получим ответ.
О т в е т. -8.

Вопросы к решению (2)

Все решения

Написать комментарий

Меню

Присоединяйся в ВК