Задать свой вопрос   *более 50 000 пользователей получили ответ на «Решим всё»

Задача 9644 Найдите значение выражения (1/a +...

Условие

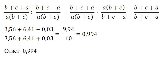
Найдите значение выражения (1/a + 1/(b+c)):(1/a - 1/(b+c))

предмет не задан 2296

Решение

Ошибки в решение (1)

Написать комментарий

Меню

Присоединяйся в ВК