Задать свой вопрос   *более 50 000 пользователей получили ответ на «Решим всё»

Задача 964 В двух идеальных LC-контурах возникают...

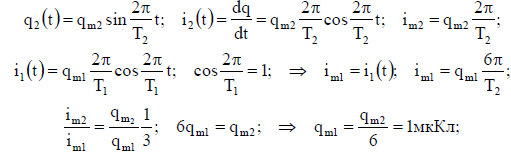
Условие

В двух идеальных LC-контурах возникают незатухающие электромагнитные колебания. Максимальное значение заряда конденсатора второго контура qm2 = 6 мкКл. Амплитуда колебаний силы тока в первом контуре в 2 раза меньше, а период его колебаний в три раза меньше чем в первом контуре. Определить максимальное значение заряда конденсатора в первом контуре.

физика 10-11 класс 8128

Решение



Ответ: 1 мкКл

Написать комментарий

Меню

Присоединяйся в ВК