Задать свой вопрос
*более 50 000 пользователей получили ответ на «Решим всё»
Задача 9518
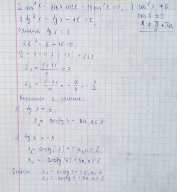
Решите уравнение:...
Условие
OksanaVolchenkova
23.06.2016
Решите уравнение: 2sin^2x-sinxcosx-15cos^2x = 0
математика ВУЗ
2643
Решение
PolinaShevlyakova
23.06.2016
★
Написать комментарий
Меню
Решим всё
Найти задачу
Категории
Статьи
Тесты
Архив задач
Присоединяйся в ВК