Задать свой вопрос
*более 50 000 пользователей получили ответ на «Решим всё»
Задача 9479
Решить дифференциальное...
Условие
Breeke721
20.06.2016
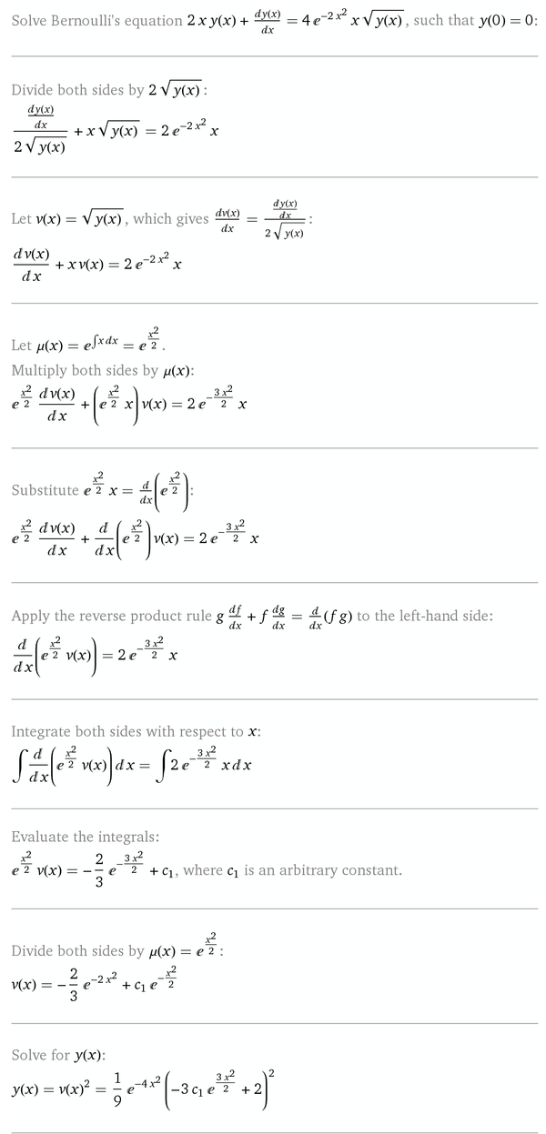
Решить дифференциальное уравнение
y'+2xy=4xe^(-2x^2)*y(^1/2) y(0)=0
математика ВУЗ
1536
Решение
slava191
14.08.2016
★
Написать комментарий
Меню
Решим всё
Найти задачу
Категории
Статьи
Тесты
Архив задач
Присоединяйся в ВК