6sin^2x + 7cosx -7 = 0
2) Найдите корень уравнения:
1) sqrt(х + 1)=1-х
2) log5(2x- 1) = 2
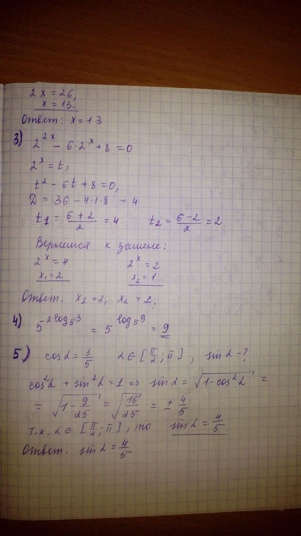
3) Решите уравнение:
2^(2х) - 6 * 2^x + 8 = 0
4) Вычислить: 5^(2log53)
5) Вычислить: sina, если cosa = 3/5, a [Pi/2; Pi]
6) Построить график функции: у=x^3 -3х+ 2
7) Сторона основания правильной треугольной призмы АВСА1В1С1 рано 5 см,а высота призмы равна 4sqrt(3). Найдите объем призмы и полную поверхность.


