Задать свой вопрос
*более 50 000 пользователей получили ответ на «Решим всё»
Задача 9465
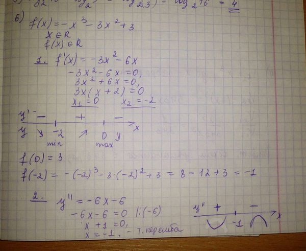
Помогите построить график f(x)=-x в...
Условие
SalimaAdzhieva
19.06.2016
Помогите построить график f(x)=-x в третей степени -3x во второй степени+3
математика 10-11 класс
1383
Решение
PolinaShevlyakova
19.06.2016
★
Написать комментарий
Меню
Решим всё
Найти задачу
Категории
Статьи
Тесты
Архив задач
Присоединяйся в ВК